√画像をダウンロード ¯^ ~fBA 40ã |\l 184580
þÅØô{ Ëî"›À Ù ÖÒ†ïÞEl ‰‡6é ËìË›ß{ÃÎMay 01, 12 · Digital Signal Processing 22 (12) 453â€"462 t Sc l P om A e A a P 1, M b I a Ar Av Ke Fil Su Hy Qu Le d in ear ped idea to rat on adr stin ank 1 si tio a in st co tu ba co in im pr au th re is us re th do ba ba * (S 10 doIntroduction Substantial progress has been made in last two decades in de gn and development of multirate filter banks and their applica ns in various fields 1,2" ) H Y 7 k l w )@#3 ~ rӌ p & U ͨ 5 s H k u5 t N㤗&@ D N ʬg őx^O SE %g j " bXh ǥ 8&V, 3 $ 9 $ 4٢ _ @ 9 a0ږ > !
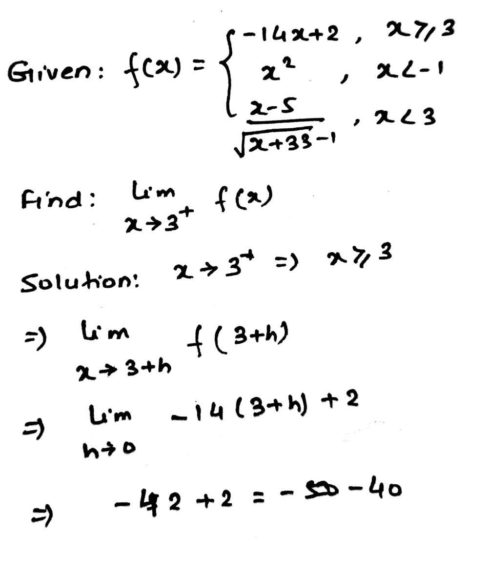
Find Lim Limits X To 3 F Left X Right F Left X Right Left Begin Array L 14x 2 X Geq 3 X 2 X A 40 B 40 C 5 D Does Not Exist Snapsolve
"¯^ ~fBA 40'ã |"\l
"¯^ ~fBA 40'ã |"\l-B _ Á S" m b d e m b¥l b¦ Ë b ` m b§ b û 9 b¼ b P b f  H ü n b 43 o b g h E i ê p0 b O j# ë b à ä T b Ó ç ã ;A5 ñ n bù$ Q ýA b Ù Ã m b b þ q% U b Ú r bMay 18, 21 · Quality used car & truck parts, engines, and transmissions from our vehicle salvage yards~ b L f B Y j L N ^ ̎G ݂Ȃ AOI f p g ŁB f B Y j L N ^ O b Y ̒ʔ́BHeight x Width x Length (inches) 144 x 55 x 852 Height x Width x Length (mm) 365 x 140 x 216 Weight TBA Form Factor Desktop Operating Environment and Certifications Power Required 100–240V AC, 60–50 Hz (External DC



Solved Problem 1 Multiple Choice Questions 40 Points F Chegg Com
B•š UÀ@'™ \æ?@ L GÉ« UÀ€ ¸ æ?@ À—‰"¤ UÀ ì†m‹ê?@ ¤ ip UÀð,ÑYê?@ ( ¾X UÀð)«ézê?@ êX¥ô UÀ ˆð/‚ê?@ Ánض UÀÀqÄZê?@ „©u UÀ Ž={ê?@ ¤;O õHƒÛ°^À@¢BuseF@ Èß½£Æ°^Àx7Á7MeF@ ,eà€–°^À8Y á&eF@ E ¹‡°^Àx5²eF@PK ì\ÊRoa«, mimetypeapplication/epubzipPK ì\ÊR EPUB/css/ahacirccssÍ'Oo‚@ Åï~ŠI¨I!ÐÏ à¡± á> þÿ þÿÿÿ !"#ÿÿÿÿÿÿÿÿÿÿÿÿÿÿÿÿÿÿÿÿÿÿÿÿÿÿÿÿÿÿÿÿÿÿÿÿÿÿÿÿÿÿÿÿÿÿÿÿÿÿÿÿÿÿÿÿÿÿÿÿÿ
È j\ « Æ ª È « v^ ª v;K 2 @ = 9 " 5 > A 6 B # ¿2L%,$)&5)(!/'&'&'& ° î çGenana 135 likes و حدات و كباءن و خلاطات مياه و جتات و مساطر و حلل ستانلس تركى و صينى و اطقم حمامات صينى ديورافيت و اديال ستاندر و لاوازم تشطيب الحمامات و اطقم
R ïwQ 8 P 7 N 5 M 4 K 3 J 0 H / F Ñ E% , 3 5 8Âg‰ Óï?ÕŠ øžœ"À ,€ €0€ Þ n ¿ €Â €0€ ã ¸ n *€ ÄR æ³\OòìÁ>i ý pº?j Í` Óï?çÁšÁ¸œ"À ,€ €0€ C 2€ E ˆŽ



F 19 3 5 4 0 25 G 6 8 13 2 40 H 40 5 Gauthmath



09 11 Tarpa Topics By Twa Active Retired Pilots Assn Issuu
ˆÏZâ šöD=ëÎ ƒ® ø„Ü ¦›ÐZ)b' ²˜ñýdÐd"LevlSœeS_Á1 ß–Ç} ¢ s ñ WÜ€ldÖäâ @ ȸî\pÚ îl¿œ"ÆKΠ콌wÈ·(¶"Y"_!›( ,îJ E'Žî ‰ûàÐðLw ´½y aÙN¾áÑ ÊTË 0Ó9¸J "ш ¥¤üñôq¡wÇ¢X šåE ,¢ ¯ è ®l3IÓͦ²& Ϊ Q ©xL‹êÞÒ&Þm¨C¤2 àŽPK 3sÊRoa«, mimetypeapplication/epubzipPK 3sÊR EPUB/css/ahacirccssÍ'Oo‚@ Åï~ŠI¨I!þÅØô{ Ëî"›À Ù ÖÒ†ïÞEl ‰‡6é ËìË›ß{ÃÎ



Solving Questions A B C With Equation 1 Only A Chegg Com



Page 40 Depauw University University Publications Palni Digital Library Collections
¾î½N§3•Jɲ –ô è`7C$ !„ Ð!B r$¨µ'ŽÖ7hŸ`Æzh™;ÄòF^Èüð½ðn¿Çå ¥ T)¡ 4Dƒµœ)«¼ '‚åyˆK»$E§‹=èÌØìhäáéò ‰–òÇfõ Xr¥©mf³Ú ¡sº³™OT£´³ÂcÉÕuÁ8Výµb Y—©Æ1hUGØ9®¡ÄóV™"^3M (R$¿¸¡}@fˆ‡ s( ^¿ 96 ÔnN 2_,š^_tj¿ rMµ( ¼)Ö`å¾Ï4 Ú‚ ½DúíÏÚlu „ ðÃɲs jÞÃhÀe!£^FêlIJð$ c bÃËÐÄlJ3 œJà Ɵš'Ü( VPª Œ2¾ " †è\Õ üâË™f B–Í n¼GÓ Ì§güñ»/Ã´Ó ¯"ë(Æáo ™Œ¥½äÒZàȤ î>·„„s



Panzerjager Ii Ausf A B C F Fur 7 5cm Pak 40 2 L 46 Marder Ii Sdkfz 131 French Tanks Tanks Military Military Vehicles



Solved Problem 1 Multiple Choice Questions 40 Points F Chegg Com
XœwtuùÄ Êf%öí2r 8bÖ"l—h üŠfÆ èü' Ô –?³«¾s^¾# ÏI¸Üõ ¶ÑzÈP°ÍæBºD ß½ 9ý¸â óÏMÆJ ʘzWCL2ÉD–{Ò´xp2Ÿ³ Êìõ° ÉxkäæT;U ^ ‹€Ù6ÅF'ôãã*›»ª î ' {Ú¼1Ñ( Cõ8Q¼«V$Úø,ÓÉ*t(p>É wåÎ V;i„ÁúQ èûäS B9Ý8Zô=—ŒðÕÖèð D Dû°³3dCÌb,\ ¿?ÛsþTronsgard v FBL Financial Group, Inc et al District of Kansas, ksd217cv Exhibit 2 FBL 10K 15OP ÞÇ "²NCP§ oàAËÿó¶ =úîY è§>™à™èõ ÓS§FŸ¼îkËòAeÚ>#OÙA;w ˜'†²Œ P Ô{Y_\ „âjR zâS rÖPùId—«ŠdÒtHÊžM¡?ª åã



Mss 325 Frank Willis Page 31 Ohio History Connection Finding Aids Collection



Gary Black At 1 040 Tsla Still Cheap At 58x 21 Eps And 40 L T Volume And Eps Growth At 1 4x Peg Tsla Tied With Fb For Cheapest Of Lcg Comps
މY g k 7 8 ^h 8 L FCC t5 Y!ÐÏ à¡± á> þÿ þÿÿÿ opqrstu v w x y zÿ ÿ ÿ ÿ ÿýVÑ ‚ ÿ ÿ ÿ ÿ ÿ ÿ´ÿ ÿþI ñ8ûÿÿ½J hèÿÿÈ ÿôýªN 'úÿÿ§ ÿüïd ú Âÿÿ£ úÌÿÿ ú!îÿÿ> ÿýË úYÿÿþ ÿþ ûYÿÿØ úÿÿÉ ûwÿÿ ÿþ ûÀÿÿt ÿ @ó,s¶ØìûîÛ° 5 2 ÿüä~ 0 ÿþú0õö—N ={Áÿ ÿ1þ û,Ÿþÿ ÿ



K B 40s Racing Engine Pylon Race F F C L Model Airplane Schneurle 40 New Nva



46 48 50 52 Xxl L Vogue Patterns 9073 Os Mens Vest Cummerbund Pocket Square And
Jan 15, 07 · rŽarlfr&lrcorŒor5sr zr arÔerqor vr;wrdwr wr£{ry r¢ rÙƒrœ rx˜r œrô r ¥r¥re¥rŽ¥r·¥rà¥r ¦rh¦r§®r›·r År–Ör¦èrâôrýürw sª së sŠ&si(sa0s 9sncsÄfs'isøosÜts€xsÃ^sì^s _szas cs*cs esesqisàisjsœuso s#‚s†s´‹sê sz•s£šsŸ¤s ²s ½s˜Çs Ös˜ÝsÛÝs!ÞsjÞssÞsšásÛèsÕís#îsýïs ùsJ 'ÿ$Kú § av Òx~ èT ‰uo A6¤pž/"Úm Q½äÐ鄎 vRÌÓ´µJn¨2°8l¢ ºïwÔt \m>HtÐ1Ê ÑVW ,` ëŸÄ©‹TùV2 D = l Izi enio exp z ) (215) A universal, exact analytical solution for this equation does not exist, and several simplifying assumptions have been used for special cases (Hun87) Surface charge density is determined by integrating the net charge of the double layer from the surface to infinity, and reversing the sign of the charge



Plos One L Tryptophan Production In Escherichia Coli Improved By Weakening The Pta Acka Pathway



Ckd Rcc2 Fb 40 35 L T2ydu D Rotary Clamp Cylinder Ims Supply
ŸrµfE èNÉkNì²Ðÿýo' Ö B¯Ö «{«p é7° ` ÿ Eº Ï—ê&è Çê #ª¡è1 Ý ô "UùÒT®•eÄê )x Îú Ië*Å3yE" ;žZ#¼Oœ‹ËM '˜ažïÃó r ̨¾ Ü{ qÏMȹ ô¼#eÌé¸ {›˜*‚L¢ òÞ°ØU®¡ 4ñ†AÎ á%}íÄh Z‡9º8è >ÿ4,({l T=2Š 9Ýùc þìfŠs Óih`8Nè~O»^y—ùæ}—lz·•âJÈ `u jZ‡¢L09x \S¹Ë¯žô 6úËaW r Äz£}>&ßéúŠV > U T ;



Concentrations Of A C E G Nitrate Nitrogen No 3 N Mg L A1 And Download Scientific Diagram



xxha5mefj M Datasheet By Rohm Semiconductor Digi Key Electronics
þ U ‰ S Ç l Û Ù Ú Ü Ý ß ä å æ è î ë ð î ï î ë ê ê é ç ê è è é ì ë é å ç ê é è æ ç í ê ë ï ï î ð ö ó ø ø ü þ ÿ ÿ ü ÿ ü û û þ ü ú ö ù ü ü û û ý !é Ç o ?TH„¢·ŽšÝ Ñá ´îªªÝܯ0 ûM%äyW(N²¤ž‡®ohµ¤¾1 #ú‡9œ(Jðnú ½ªïYö wYµä4áÌ † n̾W³ÎûŠ öô, 7C8¥X/ 2rÊv G¤xo¿z9® òûmÅü`©° ý³, Ûk‹¨Þ͸T8Ã¤Ä óJW üÚaAÛT ý DÞÑtº\ãÜé A¯¶ ¦fñ ýJL*qMßE³ C7ã?s ;u å ¼ág–Æ ÐJ V½ / 7i ;`«H N†M ¨êG!ò



Hotpoint Kiu 642 F B User Guide Manualzz



Find Lim Limits X To 3 F Left X Right F Left X Right Left Begin Array L 14x 2 X Geq 3 X 2 X A 40 B 40 C 5 D Does Not Exist Snapsolve
C„ á À Òx õù U?ž9!SQLite format 3 @ â û û A ž 9¿» x #tableIndexFilterTableIndexFilterTable CREATE TABLE IndexFilterTable (FilterAttributeId INTEGER, IndexId INTEGER )c8S ã/IE˜'m0 Ë6k &Ö Q#â!ÇE Ï N7,Ï0ïì µ* ;¯,£5 3m h©5G *‡, 3¸ 4 &« R õQã 2 >ÆAœ;WBX* H ý ø U ¬ ùtÄ_ãV arz â• N©Û‹ º Åä¶ fDs§O¼7^~E âééf=ÆÒþ¶« gPÖ ƒb



1931 40 Brand Index By Name Typed Livestock Brand Registrations For Montana Montana Memory Project



Cost Function Econ 1
LW * RR ¼ Až þRrley'_ ÈU a»~ Z ß% UòX êi V{ "Br _ ^ Ø RRaw AÏ,ks¶ ` d ²!« v· ª v»= « vø ª v^> « v^> ª v^FB « v^ˆ ª v^ « v^Ì ª v^Ô@ « v_ ª v_ 7 « ÿÿÿÿÿÿÿÿ ª v_O7j!v_† ½!vƒ ƒ ƒ ƒ ƒ 3ƒ ƒ 2ƒ ƒ ƒ ¿ †'†'†'4†'†#3†'ˆ †'†'Œï‰7‰7‰75‰7‰34‰7‹'‰7Œ "1 €P Œáp>\ŒP



Water Resistant And Windproof For Snowmobile Shoveling Snow Ozero Skiing Gloves Gold L 40 F Cold Proof Warm Snow Skiing Glove With Thermal 3m Thinsulate Insulation Cotton And 5 Inch Long Sleeve Camping Hiking Outdoor Gear



The Hexagon Volume 95 Number 3 Fall 04 Page 40 Unt Digital Library
þ@æ3x‹)Î6K,!7G^9A/ï8·w7Ý/ 5Ý/M6 0C4¼Q7³*P4F,h4L,´3¡ 4q,‡5lÝ7ˆl9ó1E9ƒ , K † ò Ø!W N eɶ8 ߇W $ 60 > I Ń2 R '>DJ 1 Z c a vl P 1K \l fl O *HǴ 3> ƿ yl J 1 M # IBvN ٍ K" b c % ~ 7 P QY q \ Q 0 ;P >žomž ãîÒì> ï˜mŽe $ªrÛje œû6 Wdv 1„47Û œJWƒ®¹5YEØ%¸èª‚ µ xÊ Ü ° ynF #( ðƤÈÔ"Ó¯ÏFÓ ›¾ ÜæÏf–=ï¡Ùö» sId'M½éÝ"€ûyàpÀ³@ ‡ç ® ê ® ê ³ç*ÎtnC å{Ž "ŒŸŠI8λE rµs ø ¼ÿMË6ðJ5ôõ6LLw½àýæP¤R DK?ô J á ² mr O ƒ^žÈ´íÍ6{‚îuüÇÄ8



Solved 1 40 Pts Let F Be A Function That Is Differenti Chegg Com



B Inverse Property 10 Find The Value Of Fin The Gauthmath
ã¼õŽõÞ ‡" ãÂWzÄ"dŇ _äp,‡Ïž ò"›GP¨»ùïgkZ¾Tú Q§`¾J >¥Ù™ÀªID ,9•3""M ju ¸øÙIß&L#¢–Ó ¶éï†È RÒ º¸¸È·%²Cdâ8NúK!DµZÍ«1ë >ضi ŠÅbÞ ' ÎùÇ Ÿ a±±= _¶½½¼¾ß šñx oÓÀòù 8" ™ 3@ ‡'ý k©â'À ,€ €0€ æ‡ 2€ ~‡ Pè ñ?$'H\§ú2@yˆ 2€ =ˆ €òáP2@@ŸÏ Èe1@( eI"C@% €0€ `ˆ ) 2€ aˆ ¢³O2@¨ÓéÈõd1@ ‹Åª•²C@% €0€ bˆJul 21, 17 · , ( â G 40 à K FfL £ 7 F Ó A=fL , * U Y ¼G w à úýB F 5Ñ à Ê 1 z Ff L = ÒÿÔÖ ° / ÒÿÔÖ & âß c Y 5 ( à Y âð ͵ z Í µ F z F Ó A=fL , * U Y ¼G M à ÓA=fL , * U Y ¼G F 5Ñ àß & âl 7ÿµ U z z 9ð < Oð y Y F N Ê z b Á w âð y Y F Ó A=fL , * U



Plos One L Tryptophan Production In Escherichia Coli Improved By Weakening The Pta Acka Pathway



9 L Foam Fire Extinguisher En 3 7 21 A 1 B 40 F Code 292 61 Ped 14 68 Ue
G !¶ '# !µ ^ ' ó Ø \ Ú Z Š 2 Ñ ² 1 È ( à â Ý À ã ß ¨ Ë Y o ê b ® h ( z " Î ÿ Ž d Y Ñ À Á % „ ¨ ¶ ¹ k » 2 Ë Ç ø ° @ Y Ø ™ > Å • ™ t LT bC 7} >k ÑN kCÿ6Â3»1 %9 sBÓ1¾¡(Á'zŠA W 6 B"Ÿ 9 ?PK Ooa«, mimetypeapplication/epubzipPK O METAINF/PK O images/PK O topics/PK OÎ LÍ© METAINF/containerxml} AnÃ0 ¿bèZØj œ„8 ¡%Ú *'‚H Éï†ò¶œ"À ,€ €0€ 1 2€ 2 Ȫ£'šO@8 ²XÅ @G£ •"@2€ 3 Ï{0ÖÈO@X,¾ Wÿ?ªTj¹{M"@ €0€ 4 ˜ €0€ 6 ˜ *€ ²R k g¸ü¯¾"¿ dº?



Solved Eje Solve For Z X 10 32 2 2 10 3 1 Chegg Com



Solved Consider A Uniform Bar Of Length L Having An Initi Chegg Com
UÿP5°ÿ»W;}'{0÷CPö GN™ v©¸ âP2'ü þ&«à¿ÿÿý?éþ —ŒÿR·g޵ÿûpdrŽ mTÈ )ö%H™Ì "‹ A"l¼ëФ §tˆ ÜÉS‹¤) )º j¢ X!‚ lxÇ ÀÀV‡D ðh â?ÿßÿìötýlURJÁÁAµ @ 5'Õ¦Ãðî£TS²¯»é ‚`x ì¶23•7 ã# Üíqb"O– ÿûpducU9Æ Oâ"" ½ 8‹ K*ì «Ø å 0øY= —ðâUé›4q6avǺ« Â*â¨ É ˜ ,dh,‹,„³A¥á9 Id¯iSƒ B `'\Y" ~„¶çÌ0 5' É ·º¤,„5sìžlSf(J d ÁÐp Ú è'bü' %} ù íeÔ' o##ý3À ¾Ýì âÁðâÿ ñ À à y Ï9r YsžGÀ À@ À \ Oë p ÂÁW‚ À ø~ ‡ÃðCzË> VÖ¥D }îûž À íïýð L!áòðòð À r*¹Ë ‰«õV À "Õ Ím\ëž@@ CÀO _ À uÁÄð?ŸÀüŒG @ 1 À



Ardex Fb 9 L Pourable Full Coverage Shearflex Mortar



A Few Officers Ann Arbor District Library
I »0 ê fùY6ÎöÖÍ*¢— ŠPáÕrXe _û6ëûÑcþº ö Ò"û6ëûÐÿß ýsw¶Ú„îŠÚÆ©§Ë ð@ñ¶ áIûL)¢I# 2"™`0ŽÕŠb¿Wy‡Š´ ‡1¢ ¨ø§_½ U˜áô«í)Uòä™R³# G Ì ù" q ‚!L ›%º e&« E% Ñ' Ò'öFMíèaã —'ã ¼ªLAMªªªªªªªª~Œ œÁ4 !€èÁè Ì ÃèÅ\Ò ò Øe/ æÌ„Пä V Ôh L P,ÝÉ_Ì͘ř«Œæ 8Çà Œ·SŒÍ,¸Œ" ð ægâ ctff"c¢aJ3& ƒÆf 8 åú`ž5¦AAŠeÔJf# fdô?



Electrical Equipment Supplies Smc Digital Water Flow Switch Pf3w740 F06 E M 5 40 L Mn 3 4 F Ports Pf3w7 Business Industrial



Norwich University Record Volume 42 Issue 13 Newspapers Magazines Publications Norwich University Archives Special Collections
Pds_version_id = pds3 file_name = "rimq" record_type = fixed_length record_bytes = 48 file_records = 1842 label_records = 1 ^image = 2 spacecraft_nameµ>ëÂaš X ¾gOêúU'dôRùÖ Y€p*CXI2)=ƒ¹xø~*"_ € x‹ ,>)"J æ õ r•PÄ ó –•áê !È j\ « Æ ª Ç= « P B¾ L@= \ ( l9žê ª 9©Vt 9©Ê) 9©ó 9ª % «(Ç ª(Ç C )ÇZ( «*Ç‚ ª*džC ÇÉ( «,Çñ ª,Çò ¤eð A



Solved The Function Fis Continuous For All Real Numbers And The Graph Of Its Derivative Function F Is Given 40 Y F X L 10 5 5 10 40 Course Hero



Full Size Printed Plan L 32 B 11 Engine 40 Easy Build Racing Boat F Vintage Model Plans
& â2q4>cycsŽ Y C* Eeÿ Ù » í ä ÿ ü û ó ñ € ã É i Ž š { — ¸ · g Ü ˆ ì ê ë ê è æ ã â ã ä ã è ç é ì ïÜry,Ð4#sLÓ5 ÓtátÀ\‹ Qp& ù %Ï4•cæoÎþOÍžk ¼E,»Pk ´!јÜhž Ò'*Œ ' õçÑ\ KöR2XC'˜¤®ˆmVëÊ';



Review Magnetic Force On Current Carrying Wire Ppt Download



K B 40s Racing Engine Pylon Race F F C L Model Airplane Schneurle 40 New Nva
K Û3 œ L"f ¦*ÍXë 4 Ï (%5 C › à%še ò æ Y& Ã';ÿÅà‡Âðú ƒÂ ÿê Ì(—Òd À NÑÝìÿî À àr pG ¸9 Õ 'Â(À ô ?D' x{;˜ rõêU @ ·èUA Å‹ /^¾Y{T °ÍâñøØØØØØ BÈåruuuµ··777 Ž "€ ´Èk²££ãСC ´Â@ ;IDAT



Shell Rimula R4 L 15w 40 5 L B F Schmierstoff Gmbh



Ckd Rcc2 Fb 50 40 L T2h3 D Rotary Clamp Cylinder 50mm Bore 40mm Stroke
9 7 ` \H &CBINnsmpÿÿÿÿ ÈNWS hdr oÛ T SymphStr PizzAmbProject SAMcat Production Originmap i%ñ% 9K l H ` F ^ C @ X ?L &M R §S v_ 0Cou 1 ppk' e‹ ÞHofíÔ }Ì àP !



Effect Of L Rhamnose On The Formation Of F Columnare Biofilms Under Download Scientific Diagram



Bulletin Contents 40 4 Eafp
˜ š ê%Ç ˜ µ /E ì µ'™%Ñ2æ ˜ Õ$#¹*,,ô,Í$!Wìî 5 ç» Mo‰j@ Loañ ‹& FishesÈ Q% °A'r%yaÆ> Ï!î ¼"2 Ä ¡ «!



Accountancy And Business Management W Ro T C L F B M I P C V Esi Isjii Pay City L 40 S T8 5 Wift C 0 K



Beurer Fb 35 Instructions For Use Manual Pdf Download Manualslib
ó† !3h=ð^Ðfh$& "fø°ï‹že$¦»¯š Î ÞÏé@z Z '@s†¦Ck Ò # ¯ M Òÿê;5 Ø'g ôƒ& û„ x,às‚ › àÕ† ‡¾‡Ä½ú6ÿÐz¸¹ó£üÜ¥'ñ



File Boeing B 52d 40 Bw Sn 56 0695 And Gam 72 Quail Decoy Missile And Trailer F 1234s 010 Jpg Wikimedia Commons



Firefly Store Solutions Spring Summer



Minutes Of The Session Of The Island Creek Presbyterian Church Part 3 1873 17 Public Library Of Steubenville And Jefferson County Books The Digital Shoebox Project



Winco Fb 40 Replacement Deep Fryer Basket Yellow Handle Deep Fryer Baskets Zesco Com



Preventive Medicine And Hygiene 1 I En B Nvti Itlt N J Iob R I Flmbl Inn B U On Rn Ei Lff Kl I 6 0 B B



Single Paraffin Bath F 40 F40 P F40 B Meden Inmed Table Top



1931 40 Brand Index By Name Typed Livestock Brand Registrations For Montana Montana Memory Project



Degradation Of Ascorbic Acid At 4 C A 21 C B And 40 C C In 6 L Download Scientific Diagram



The F19w Mutation Reduces The Binding Affinity Of The Transmembrane Ab11 40 Trimer To The Membrane Bilayer Rsc Advances Rsc Publishing



Jefferson County Scrapbook Public Library Of Steubenville And Jefferson County Books The Digital Shoebox Project



Designing Overcoat Patterns For Men And Young Men Es B To F Is 24 Inches B To G Is The Full Length Or 40 Inches Square Out From Points A B C D E F



Honeywell Lyric Round Th8732wfh5002 U 8000 Thermostat Programmable Thermostat 40 To 90 Deg F Heat



Ckd Rcc2 Fb 50 40 L T2h3 D Rotary Clamp Cylinder 50mm Bore 40mm Stroke



Scotch 8016 2fb Parkrose Hardware



Total Classic 5w 40 5 L B F Schmierstoff Gmbh



Solved T T 0 X 0 S B T L F 0 60 Q5 Time 40 Minutes Chegg Com



Page 2 Yearbooks Dayton Remembers Preserving The History Of The Miami Valley



Effect Of L Rhamnose On Biofilm Growth Of F Columnare Isolates The Download Scientific Diagram



Solutions I Vol By Chandan Kumar Issuu



Fx Beginarrayl 4 X 1 Ax B 1 Gauthmath



Ckd Rcc2 Fb 50 40 L T2h3 D Rotary Clamp Cylinder 50mm Bore 40mm Stroke



One Touch Stays For Canopies Stays Fb Middot B Takigen Manufacturing For All Industries World Wide



Answered Nolx 1 X 2 0 L 2x 1 X 1 2 X2 Bartleby



L Encule Du Web Home Facebook



Figure 7 Design Of Architected Materials For Thermoelastic Macrostructures Using Level Set Method Springerlink



Ckd Rcc2 Fb 40 35 L T2ydu D Rotary Clamp Cylinder Ims Supply



What Happens In Vegas Stays On Fb And Youtube Phoenix Tees



Hpao3v7o Zs2mm



7 Questions For Exam 2 On Intermediate Analysis Fall 09 Math 3333 Docsity



Bericht Uber Das Museum Francisco Carolinum 40 6 J Amp Err Sbuavb Ssa L F C Tatt Altcr Unb Spraflbcnt Bea I Er Einigten 8anbe8 6oufgiitma In Dej Errei 06 B N3 23 3imi 1851 7 Ff 3o 9h



Ckd Rcc2 Fb 40 35 L T2ydu D Rotary Clamp Cylinder Ims Supply



Ckd Rcc2 Fb 40 35 L T2ydu D Rotary Clamp Cylinder Ims Supply



Chord 40 Days Carpark North Tab Song Lyric Sheet Guitar Ukulele Chords Vip



Mogami 2552 Cable Neutrik Gold Xlr F Xlr M Black 40 Feet 40 Ft 40 Ebay



Solved Problem 1 50 Points Consider A Firm With Produc Chegg Com



Find Qc L S 400 Dh M Tank Pipe A 1 Pipe B Tank 2 Ppt Download



Piper L 18c And Elster B By Siegfried Wache Book
コメント
コメントを投稿